当前位置:首页 > 学生风采 >

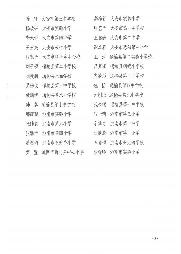
关于表扬2021年度“新时代白城好少年标兵”和“新时代白城好少年”的决定(共6页)

作者:发布时间: 2021-06-18阅读:84次

01.jpg 




02.jpg 




03.jpg 




04.jpg 




05.jpg 




06.jpg 


文件下载:关于表扬2021年度“新时代白城好少年标兵”和“新时代白城好少年”的决定.pdf